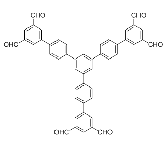
英文名稱:
分子式:C98H62O6
分子量: 1335.5
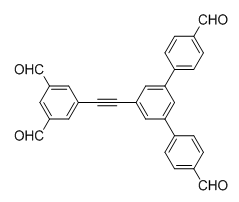
英文名稱:
分子式:
分子量:
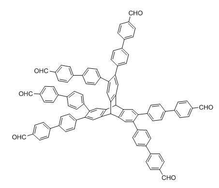
英文名稱:5',5''''-(Anthracene-9,10-diyl)bis(([1,1':3',1''-terphenyl]-4,4''-dicarbaldehyde))
分子式:C54H34O4
分子量:746.86
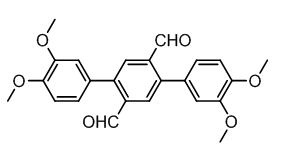
英文名稱:5'-(4-(Bis(4-formylphenyl)amino)phenyl)-[1,1':3',1''-terphenyl]-4,4''-dicarbaldehyde
分子式:C40H27NO4
分子量:585.65
英文名稱:
分子式:C44H26N2O4S2
分子量:710.83